Часовой пояс: UTC + 3 часа




Начать новую тему Новая тема / Ответить на тему Ответить  Сообщений: 12179 • Страница 287 из 609<  1 ... 284  285  286  287  288  289  290 ... 609  >
  Пред. тема | След. тема 
В случае проблем с отображением форума, отключите блокировщик рекламы
Автор Сообщение
 
Прилепленное (важное) сообщение

Junior
Статус: Не в сети
Регистрация: 01.01.2011
Тема для выбора и обсуждения специализированных радиаторов для СЖО. Вопросы по самостоятельному изготовлению радиаторов а также переделке других видов под СЖО обсуждаются в отдельных темах:
СЖО. Пассивная батарея охлаждения вместо радиатора
СЖО. Вынос радиатора на балкон
СЖО. Изготовление самодельного радиатора
СЖО. Использование автомобильных радиаторов

Список основных тем форума Системы Жидкостного Охлаждения находится тут.
Важно:
Прежде чем задать вопрос - воспользуйтесь поиском и обязательно прочитайте первое сообщение темы и хотя бы несколько последних страниц, если тема большая: возможно, ответ на ваш вопрос уже есть в теме или в материалах по ссылкам из первого сообщения.

Ссылки на информацию:
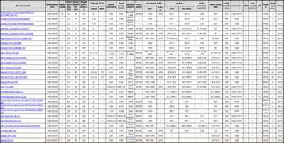
Посадочные и габаритные размеры для 1х120, 2х120, 3х120 и 4х120 радиаторов фирмы aquatuning.
Таблица производительности 480-х радиаторов при различных оборотах вентиляторов.
Рассеиваемая мощность при приемлемом уровне обдува очень приближенно составляет 100Вт для 120-ой секции и 150 для 140-ой. По FPI радиаторы можно сравнивать только с оглядкой на их толщину и интенсивность обдува.
Пример того, как более плотные радиаторы сперва проигрывают по дельте, но при увеличении отводимой мощности/улучшении обдува выходят на первые места.

Если кто-то желает добавить что-либо - пишите в ЛС куратору темы.



Партнер
 

Member
Статус: Не в сети
Регистрация: 26.08.2012
Откуда: Мурманск
Фото: 619
nag77 писал(а):
Обычную, зачем вам радиатор на 5 bar) FPI у обычной и индастриал вроде одинаковый.
Написано 1.5 бар... нашел, что у обычной 12 fpi, у индастри 16 fpi и 8 бар... брать indastry?

_________________
★ CPU ☆ Intel 10900KF ★ GPU ☆ ASUS 3080 Strix OC ★ DDR4 ☆ G.Skill Trident Z 3200C14 ★


 

Member
Статус: Не в сети
Регистрация: 19.03.2008
Откуда: Беларусь
Фото: 2
aggression писал(а):
брать indastry?

Берите обычную, не заморачивайтесь. Легче будет продуваться на минимальных оборотах.


 

Member
Статус: Не в сети
Регистрация: 26.08.2012
Откуда: Мурманск
Фото: 619
Если заменить AC XT45 на HWL GTS... да тоньше, да выше FPI, но по указанной ссылке видим, что в большинстве сценариев он лучше..?

_________________
★ CPU ☆ Intel 10900KF ★ GPU ☆ ASUS 3080 Strix OC ★ DDR4 ☆ G.Skill Trident Z 3200C14 ★


 

Member
Статус: Не в сети
Регистрация: 19.03.2008
Откуда: Беларусь
Фото: 2
aggression писал(а):
HWL GTS

aggression писал(а):
что в большинстве сценариев он лучше..?

Да, имеет место быть, грамотно подметили.
HWL GTS весьма неплохой радиатор, один из лучших, если не лучший слим, но только не в версии x-flow. У него небольшой недостаток - режет поток, но на это можно не обращать внимания.
Как вариант - его брат-близнец в OEM исполнении Black Ice Nemesis L-Series 360 Stealth Radiator (он же Bitspower Leviathan SF 360 Radiator)
http://www.performance-pcs.com/black-ic ... iator.html
https://www.performance-pcs.com/bitspow ... iator.html


 

Member
Статус: Не в сети
Регистрация: 14.10.2010
Откуда: Самара
Фото: 17
nag77 писал(а):
HWL GTS весьма неплохой радиатор, один из лучших, если не лучший слим, но только не в версии x-flow. У него небольшой недостаток - режет поток

Наоборот, ГДС у x-flow меньше, чем у u-flow

_________________
S3 Trio64V2/DX=>GeForce4 MX440=>GeForce 8500GT=>Radeon HD5670=>Radeon HD7970
AMD-K6=>Pentium III 500=>Pentium E2200=>i5 2500K


 

Member
Статус: Не в сети
Регистрация: 19.03.2008
Откуда: Беларусь
Фото: 2
yuran1994@mail.ru писал(а):
ГДС у x-flow меньше

Я писал об эффективности. У x-flow она ниже. Сори, если запутал.


 

Member
Статус: Не в сети
Регистрация: 26.08.2012
Откуда: Мурманск
Фото: 619
nag77 писал(а):
но только не в версии x-flow
Не x-flow... как раз оба "нормальных" варианта есть на highflow... буду заказывать. Спасибо за помощь с выбором.

_________________
★ CPU ☆ Intel 10900KF ★ GPU ☆ ASUS 3080 Strix OC ★ DDR4 ☆ G.Skill Trident Z 3200C14 ★


 

Member
Статус: Не в сети
Регистрация: 25.09.2014
Откуда: норильск
Фото: 36
а на мой вопрос чем gtr от gtx отличается никто не ответит?я о радиаторе hwl

_________________
не уклонися сердце мое в словеса лукавствия непщевати вины о гресех.(Царь Давид)


 

Member
Статус: Не в сети
Регистрация: 14.10.2010
Откуда: Самара
Фото: 17
kayrosbs У gtr больше каналов для жидкости 16 против 12 у gtx. Следовательно ГДС ниже, но продувается хуже.


 

Member
Статус: Не в сети
Регистрация: 19.03.2008
Откуда: Беларусь
Фото: 2
kayrosbs писал(а):
gtx

GTX существует в двух версиях, отличаются строением ядра.
Nemesis GTX
Nemesis GTX
#77


Black Ice GTX
Black Ice GTX
#77


GTR бескомпромиссный вариант для людей с балконом и высокооборотистыми вентиляторами.
Подробнее http://hardwarelabs.com/

#77


Добавлено спустя 1 минуту 10 секунд:
yuran1994@mail.ru писал(а):
У gtr больше каналов для жидкости 16 против 12 у gtx.

Верно

Слева GTX, справа GTR

#77
#77


 

Member
Статус: Не в сети
Регистрация: 11.03.2008
Откуда: Норильск...
Фото: 1
kayrosbs
Переезжай в хату с балконом ииии...
nag77 писал(а):
GTR бескомпромиссный вариант для людей с балконом и высокооборотистыми вентиляторами.
Подробнее http://hardwarelabs.com/

_________________
Water Cooling System Koolance --- Superior Liquid Cooling Solutions.


 

Member
Статус: Не в сети
Регистрация: 19.03.2008
Откуда: Беларусь
Фото: 2
atlonn писал(а):
Переезжай в хату с балконом ииии...

Кстати, если GTX560 на 2000 оборотах практически достает мору 420, GTR порвет ее как тузик грелку) Идеальный балконный вариант)

#77


 

Member
Статус: Не в сети
Регистрация: 27.03.2011
Фото: 12
nag77
Ключевое здесь
nag77 писал(а):
на 2000 оборотах

:hitrost:

kayrosbs
На ваш вопрос уже дан ответ вот тут :old_wink: :
http://pccooling.ru/testirovanie-radiat ... s-gtr-360/
http://pccooling.ru/testirovanie-radiat ... is-360gtx/

_________________
Авторитетней и компетентней от хамской формы общения вы всё-равно не станете.(c) Хитрый John


 

Member
Статус: Не в сети
Регистрация: 19.03.2008
Откуда: Беларусь
Фото: 2
arduum писал(а):
Ключевое здесь

nag77 писал(а):
Идеальный балконный вариант)


:-)


 

Member
Статус: Не в сети
Регистрация: 11.03.2008
Откуда: Норильск...
Фото: 1
nag77 писал(а):
Кстати, если GTX560 на 2000 оборотах практически достает мору 420, GTR порвет ее как тузик грелку) Идеальный балконный вариант)

Интересно было бы их всех разместить на моём балконе и пущай соревнуются с моим Koolance HX-CU1080... )

_________________
Water Cooling System Koolance --- Superior Liquid Cooling Solutions.


 

Member
Статус: Не в сети
Регистрация: 25.09.2014
Откуда: норильск
Фото: 36
благодарю за ответы на сайте производителя написано что оптимизирован для оборотов на 1000

Добавлено спустя 4 минуты:
Цитата:


антивирус ругается сайт с майнерами.Не пускает. https://overhard.ru/news/articles/testy ... s-gtr-360/
вот тут глянул вентиляторы тайфун идут лесом ...вобщем он тестил через одно место не было теста на основании статического давления.Он взял только тайфуны даже другие не потестил.Я решил для этого радиатора взять Вентилятор Corsair ML120 Pro LED Red [CO-9050042-WW] уровень шума на 1600 оборотов будет в районе 23 а производительность такая же как у тайфунов на максималках и вот вам и продув.(поправте если я не прав)для gtx у меня стоит 120 ml pro rgb у них максималка 1600 юзаю на 1000-1300.Эти могут в 2400 оборотов но это чисто если для пробы))а так думаю 1500 оборотов и ниже посмотрим. максимальное статическое давление корсаров ml120 pro led red 4,2 мм H2O а тайфунов в тайфунах так и не нашел но думаю в разы меньше.


Вложения:
193902.png
193902.png [ 174.4 КБ | Просмотров: 777 ]

_________________
не уклонися сердце мое в словеса лукавствия непщевати вины о гресех.(Царь Давид)


Последний раз редактировалось kayrosbs 23.01.2019 0:40, всего редактировалось 3 раз(а).
 

Member
Статус: Не в сети
Регистрация: 09.11.2018
Откуда: Донецк
Фото: 0
atlonn писал(а):
Переезжай в хату с балконом


А вот если 3 месяца в году там +45 (не втени правда), работать радиаторы будут?

_________________
Искусственный интеллект не может состязаться с естественной глупостью.


 

Member
Статус: Не в сети
Регистрация: 25.09.2014
Откуда: норильск
Фото: 36
Цитата:
Таблицу можно читабельную? :)[/off]


да прости.В общем если в двух словах у gtr плотность ребер выше и это создает препятствие воздушному потоку...у тайфунов походу воздушный поток рассчитан только на идеальные условия ,и они не подходят для радиаторов с высокой плотностью оребрения,так как заявленный для GentleTyphoon 120 mm 58,3 CFM = 98 m³/h воздушный поток при появлении препятствия будет резко падать(и указан с учетом полного отсутствия сопротивления воздушному потоку) .А если ставить для gtr обдув вентиляторов с высоким статическим давлением ,то заявленный производителем воздушный поток, не будет так сильно падать при появлении препятствия, в виде высокой плотности оребрения радиатора. Другими словами горе тестер с оферхард тестил радиатор gtr(c повышенным препятствием воздушному потоку) вентиляторами не предназначенными для плотного сопротивления создаваемому ими воздушному потоку, которые имеют хороший воздушный поток только при отсутствии сопротивления ,то есть в идеальных условиях, то есть являются вентиляторами с низким статическим давлением.Да и хотел бы заметить что hwl 360 gtr имеет напротив уменьшенное сопротивление водяному потоку))то есть режет жидкостный поток меньше чем gtx и gts.В связи с вышеописанным его(тестера с оверхард) умозаключение про балкон,считаю бредятиной ,так как высокие обороты вентилятора для радиатора gtr 360 ничего не смогут дать, если у вентилятора низкое статическое давление и напротив малошумные и более дорогие вентиляторы, с высоким статическим давлением ,смогут показать результат 2000оборотов вентиляторов по типу тайфуна с низким показателем статического давления и на 1500 оборотах и при этом буду обладать еще и более низким уровнем шума.


Вложения:
5d1b3d3b52b971336c04b990c45bd85c.png
5d1b3d3b52b971336c04b990c45bd85c.png [ 73.86 КБ | Просмотров: 766 ]

_________________
не уклонися сердце мое в словеса лукавствия непщевати вины о гресех.(Царь Давид)


Последний раз редактировалось kayrosbs 23.01.2019 3:35, всего редактировалось 2 раз(а).
 

Member
Статус: Не в сети
Регистрация: 11.03.2008
Откуда: Норильск...
Фото: 1
vostokhost писал(а):
А вот если 3 месяца в году там +45 (не втени правда), работать радиаторы будут?

Конечно будут, только солнечным лучам не подставляйте радиатор/радиаторы...

kayrosbs писал(а):
у тайфунов походу воздушный поток рассчитан только на идеальные условия ,и они не подходят для радиаторов с высокой плотностью оребрения

Прекрасно Тайфуны многие года продувают Ку радиаторы с плотность в 20FPI и 30FPI - - - чисто практика и ни какого мошенничества - - - нас не догонят...

_________________
Water Cooling System Koolance --- Superior Liquid Cooling Solutions.


 

Member
Статус: Не в сети
Регистрация: 25.09.2014
Откуда: норильск
Фото: 36
Цитата:
Прекрасно Тайфуны многие года продувают Ку радиаторы с плотность в 20FPI и 30FPI


16 FPI 25 Micron 4th Generation Radical Geometry Copper Fins на hw labs360gtr

_________________
не уклонися сердце мое в словеса лукавствия непщевати вины о гресех.(Царь Давид)


Показать сообщения за:  Поле сортировки  
Начать новую тему Новая тема / Ответить на тему Ответить  Сообщений: 12179 • Страница 287 из 609<  1 ... 284  285  286  287  288  289  290 ... 609  >
-

Часовой пояс: UTC + 3 часа


Кто сейчас на конференции

Сейчас этот форум просматривают: нет зарегистрированных пользователей и гости: 15


Вы не можете начинать темы
Вы не можете отвечать на сообщения
Вы не можете редактировать свои сообщения
Вы не можете удалять свои сообщения
Вы не можете добавлять вложения

Перейти:  
Создано на основе phpBB® Forum Software © phpBB Group
Русская поддержка phpBB | Kolobok smiles © Aiwan