Часовой пояс: UTC + 3 часа




Куратор(ы):   BE@ST   



Начать новую тему Новая тема / Ответить на тему Ответить  Сообщений: 3054 • Страница 50 из 153<  1 ... 47  48  49  50  51  52  53 ... 153  >
  Пред. тема | След. тема 
В случае проблем с отображением форума, отключите блокировщик рекламы
Автор Сообщение
 
Прилепленное (важное) сообщение

Куратор темы
Статус: Не в сети
Регистрация: 30.12.2012
Откуда: Беларусь, Брест
Фото: 44
В данной теме обсуждаются только видеокарты:
GeForce GTX 1050 | 1050Ti

Именно конкретные технические проблемы конкретных пользователей данных видеокарт, всё остальное, включая цены, все вопросы выбора и приобретения, решаются в других темах.

#77 #77 В этой теме карты не выбирают! #77 #77

Обсуждение "треска/писка" дросселей - оффтоп. Кого не устраивает шум от карты - бодается с продавцом/сервисом, подкидывает другой БП, и т.п.
Код:
Шум дросселей у современных видеокарт зависит от экземпляра, характера нагрузки и блока питания, а не от производителя и модели, если эффект проявляется на дискомфортном уровне, можно обратиться по гарантии. (с) Palit support
#77
#77 Помощь в выборе (какого производителя и где купить, нюансы, цены, и т.п.):
Помощь в выборе PCI-E видеокарты + FAQ
#77
#77 Неистово обсудить наболевшее (беспредел в ценообразовании, доступности и прочее "нытьё"):
GTX 1050ti vs RX 470 & GTX 1050 vs RX 460 ("диванная" аналитика, мнения местных "экспертов" и т.д.)
#77
#77 Вопросы редактирования и прошивки BIOS (редактора для биосов Pascal нет, обсуждение в этой теме оффтоп):
Прошивка и редактирование биосов видеокарт Nvidia + FAQ.

#77 ASIC Quality на чипах Pascal не отображается! #77

#77

#77#77

GeForce GTX 1050Ti
Технические характеристики
Модель: GeForce GTX 1050Ti
Дата выпуска: 25 октября 2016г.
Кодовое имя: Pascal (GP107-400-A1)
Предшественник: GeForce GTX 950 ?
Техпроцесс: 14 нм
Площадь кристалла: 132 мм2
Интерфейс системной шины: PCIe 3.0 x16
Количество транзисторов: 3.3 млрд
Количество шейдерных процессоров(PS): 768
Количество текстурных блоков(TMU): 48
Количество блоков растеризации(ROP): 32
Количество потоковых мультипроцессоров(SM): 6
Базовая частота ядра: 1290 Мгц
Частота ядра (Boost): 1392 Мгц
Скорость рендера пикселей: 41.3 Гпикс/с
Скорость заполнения текстур: 61.9 Гтекс/с
Объём памяти: 4 Гб
Пропускная способность шины: 112 Гб/с
Тип памяти: GDDR5
Шина памяти: 128 бит
DirectX: 12.0 (Feature Level 12_1)
OpenGL: 4.5
OpenCL: 1.2
Vulkan: 1.0
CUDA: 6.1
Производительность с числами одинарной точности (Boost): 1981 (2138) Гфлопс
Производительность с числами двойной точности (Boost): 62 (67) Гфлопс
Производительность с числами половинной точности (Boost): 31 (33) Гфлопс
Максимальная температура: 97 °C
Потребление энергии: 75 Вт
Поддержка SLI: нет
DisplayPort: 1.4
HDMI: 2.0b
HDCP: 2.2
Цена на дату выпуска (Founders Edition): 139$ (-)
Обзоры на английском языке
TechPowerUp.com:
Dec 2nd, 2016 ASUS GTX 1050 Ti STRIX OC 4 GB
Nov 8th, 2016 Gigabyte GTX 1050 Ti G1 Gaming 4 GB
Oct 25th, 2016 MSI GTX 1050 Ti Gaming X 4 GB

Список обзоров: http://videocardz.com/63999/nvidia-gefo ... ti-reviews

GeForce GTX 1050
Технические характеристики
Модель: GeForce GTX 1050
Дата выпуска: 25 октября 2016г.
Кодовое имя: Pascal (GP107-300-A1)
Предшественник: GeForce GTX 950 ?
Техпроцесс: 14 нм
Площадь кристалла: 132 мм2
Интерфейс системной шины: PCIe 3.0 x16
Количество транзисторов: 3.3 млрд
Количество шейдерных процессоров(PS): 640
Количество текстурных блоков(TMU): 40
Количество блоков растеризации(ROP): 32
Количество потоковых мультипроцессоров(SM): 5
Базовая частота ядра: 1354 Мгц
Частота ядра (Boost): 1455 Мгц
Скорость рендера пикселей: 43.3 Гпикс/с
Скорость заполнения текстур: 54.2 Гтекс/с
Объём памяти: 2 Гб
Пропускная способность шины: 112 Гб/с
Тип памяти: GDDR5
Шина памяти: 128 бит
DirectX: 12.0 (Feature Level 12_1)
OpenGL: 4.5
OpenCL: 1.2
Vulkan: 1.0
CUDA: 6.1
Производительность с числами одинарной точности (Boost): 1733 (1862) Гфлопс
Производительность с числами двойной точности (Boost): 54 (58) Гфлопс
Производительность с числами половинной точности (Boost): 27 (29) Гфлопс
Максимальная температура: 97 °C
Потребление энергии: 75 Вт
Поддержка SLI: нет
DisplayPort: 1.4
HDMI: 2.0b
HDCP: 2.2
Цена на дату выпуска (Founders Edition): 109$ (-)
Обзоры на английском языке
TechPowerUp.com:
Oct 25th, 2016 MSI GTX 1050 Gaming X 2 GB

Список обзоров: http://videocardz.com/63999/nvidia-gefo ... ti-reviews

#77 F.A.Q. #77
F.A.Q.
Q: При установке драйвера под Win10 пишет: "Версия драйверов не поддерживает эту операционную систему."
A: Видеокарты 10xx серии поддерживаются в Wndows 10 версии 1511 и выше, обновляйте операционную систему.

Обычные VGA мониторы (не имеющие цифрового входа) работать не будут из-за разъёма DVI-D (только цифра)!
Нужен конвертер цифрового сигнала в аналоговый, типа такого:
https://ru.aliexpress.com/item/1080P-DV ... 339505.htm
https://ru.aliexpress.com/item/Free-Shi ... 82753.html


Q: Поддерживает ли карты аппаратное декодирование HEVC(H265)?
A: Да, видеокарты на базе GP107 Pascal аппаратно поддерживают декодирование HEVC(H265).

Q: Что необходимо для просмотра видео с HEVC(H265)?
A: Самый простой вариант это:
  • Скачиваем кодек
  • Запускаем Media Player Classic Home Cinema
  • Выбираем Вид->Настройки->Встроенные фильтры->Видео декодер->Hardware Acceleration->
    Hardware Decoder to use: DXVA2(native)
    Codecs for HW decoding и Resolutions: ставим все доступные галочки (у меня доступно 8)
  • Получаем удовольствие от просмотра. :-)

Q: Где можно скачать видео для проверки HEVC(H265)?
A: Скачать видео можно здесь.

Q: Где можно увидеть список программ и игр использующих OpenGL?
A: Список.

Q: В чём различие версий OpenGL?
A: Описание версий.

Q: Где можно увидеть список игр использующих Vulkan?
A: Список.

Q: Где можно увидеть список игр использующих DirectX 12?
A: Список.

Q: Что отвечает русская тех. поддержка MSI по поводу шума дросселей?
A: Ссылка на переписку от пользователя JONY34R.
Результаты разгона


Последний раз редактировалось Dex 12.10.2023 13:37, всего редактировалось 17 раз(а).
Обновлены версии полезных программ.



Партнер
 

Member
Статус: Не в сети
Регистрация: 18.05.2005
Откуда: Moscow
Фото: 9
OzMorphine Asus предпочтительней.

_________________
Если в глазах собеседника застыл интерес, значит, он перестал вас понимать.


 

Member
Статус: Не в сети
Регистрация: 23.09.2016
ребята, а кто-нибудь здесь в теме реально сравнивал мощность gtx 770 4 gb и gtx 1050ti ? в разгоном и без ...


 

Member
Статус: Не в сети
Регистрация: 20.02.2012
Откуда: Украина
kisulja https://www.youtube.com/watch?v=mkJzDsUrOB8 только без разгона.

_________________
Хорошо смеётся тот,у кого есть свежий бэкап..


 

Member
Статус: Не в сети
Регистрация: 07.04.2006
Откуда: Russia
А чему примерно равна карта серии TI vs Intel HD?

_________________
Antec P183 + ASRock Z68 E4G3 + i5 2500K + MSI 1050Ti Gaming X, 2x4 Gb Samsung. HDD 2хWD 640 Gb серия AAKS. 22" Samsung 226CW + X-Fi Titanium.


 

Member
Статус: Не в сети
Регистрация: 02.04.2011
Rulik писал(а):
только без разгона.

Там асус 1050ти без доп питания, а значит без нормального разгона.
Yukino писал(а):
А чему примерно равна карта серии TI vs Intel HD?

1050 даже не TI, обгонит с большим отрывом любую встройку.


 

Member
Статус: Не в сети
Регистрация: 04.03.2009
Откуда: самара
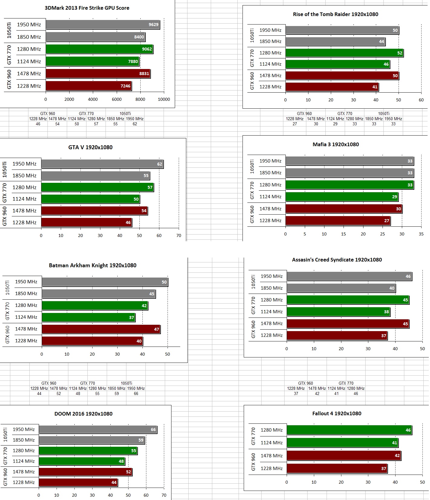
kisulja писал(а):
ребята, а кто-нибудь здесь в теме реально сравнивал мощность gtx 770 4 gb и gtx 1050ti ? в разгоном и без ...

мои результаты: все карты 4гб.
http://img.maryno.net/images/46e5c37d9c ... 6dfd8.jpeg

_________________
افتوفاز: الأخبار السيئة - الانفجار. والخبر السار - كل دمرت


 

Member
Статус: Не в сети
Регистрация: 23.04.2011
Откуда: Ростов-на-Дону
Ну что? из-за дебилов майнеров, пришлость взять 1050ti срочно, так как 670 сдохла, (отвал чипа) что могу сказать? Новая видеокарта на 60% быстрее везде, в думе мог на 670 играть на низких. На 1050 ультра и 60 фпс, короче доволен как слон!) 4-6 лет спокойно посижу) 670 с 2013 года отрабатывала. И да купил 1050 мси на 4 гига, последную версию.


 

Member
Статус: Не в сети
Регистрация: 10.07.2008
Откуда: Екатеринбург
Фото: 6
Да, карта получилась годная!

_________________
Держи кровь чистой.
Мамкин пирожочек - лжец, хам и мелкий мошенник.


 

Member
Статус: Не в сети
Регистрация: 04.03.2009
Откуда: самара
Ozoni писал(а):
Новая видеокарта на 60% быстрее везде

ну эт наврядли, 1050ti = GTX680 4GB /GTX770 4GB плюс-минус максимум 10%, а 680 что, на 50% мощнее 670? а вот если сравнивать 2GB vs 4GB, то да - разница может быть гиганской, fps'ом не сравнить.

_________________
افتوفاز: الأخبار السيئة - الانفجار. والخبر السار - كل دمرت


 

Заблокирован
Заблокирован
Статус: Не в сети
Регистрация: 27.07.2016
Откуда: Регион 05
Есть карточка на руках, Palit 1050 (Ti ???) StormX. "Ti" в кавычках и с вопросами пишу потому что есть подозрения что это вовсе не Ti, а ппростая 1050 с 4 гб видеопамяти. Вроде такие карты существуют. Или перепаянный чип/перепрошитая, короче хз.
Есть ли какой-нибудь программный способ наверняка определить? Показания GPU-Z не внушают доверия, т.к. не отображает это GP107-400-A1, или всё же GP107-300-A1. На самом чипе какие-нибудь обозначения/надписи есть на таких картах? Хотя разбирать крайне не хотелось бы, повредится пломба.
Почему возникли подозрения? Да потому что карточка очень, ОЧЕНЬ слабая. Ведьмак 3 в 1080p выдаёт 25-35 фпс на средне-низких (только текстуры высоко) с процессором i5 6500 + 16gb ddr4. Андромеда (средне-низкие) так же примерно. RoTTR (средне-низкие) текстуры "высоко" - просадки до 12 фпс (!) в геотермальной долине (или как её там). Думаю это ненормально низкая производительность для 1050Ti, смотрел ютуб, должна быть шустрее. Или нет?? Если это нормальная тишка... то эта карточка просто дно-днищенское

Вот скрин с GPU-Z, вроде так и должно быть. Но фпс... должно быть выше, мне кажется :?:
Вложение:
1.jpg
1.jpg [ 97.67 КБ | Просмотров: 1402 ]

_________________
Люди, ненавидящие кошек, в следующей жизни будут мышами.


Последний раз редактировалось Rm76 17.07.2017 23:16, всего редактировалось 2 раз(а).

 

Member
Статус: Не в сети
Регистрация: 09.06.2016
Откуда: Донецк, Украина
Фото: 4
Дайте хотя бы фотографию данной карты. Может там какой перепрошитый китаец? Где карту брали?


 

Заблокирован
Заблокирован
Статус: Не в сети
Регистрация: 27.07.2016
Откуда: Регион 05
Pushking писал(а):
Дайте хотя бы фотографию данной карты. Может там какой перепрошитый китаец? Где карту брали?

Нет у меня фотика, к сожалению. И телефон без камеры. Если найду сфоткаю. Карту брали в местном ларьке, за 8100 рубле 3 недели назад. Была просто в пакете, продаван сказал типа OEM продукция, нет никакой упаковки.

_________________
Люди, ненавидящие кошек, в следующей жизни будут мышами.


 

Member
Статус: Не в сети
Регистрация: 09.06.2016
Откуда: Донецк, Украина
Фото: 4
Драйвера с сайта нвидии нормально устанавливаются?


 

Заблокирован
Заблокирован
Статус: Не в сети
Регистрация: 27.07.2016
Откуда: Регион 05
Pushking писал(а):
Драйвера с сайта нвидии нормально устанавливаются?

Да. И с оф.сайта Palit тоже.

_________________
Люди, ненавидящие кошек, в следующей жизни будут мышами.


 

Member
Статус: Не в сети
Регистрация: 02.04.2011
Rm76 писал(а):
что есть подозрения что это вовсе не Ti, а ппростая 1050 с 4 гб видеопамяти

Не бывает 1050 с 4 гб. Они все идут с 2 гб


 

Заблокирован
Заблокирован
Статус: Не в сети
Регистрация: 27.07.2016
Откуда: Регион 05
Groove75 писал(а):
Не бывает 1050 с 4 гб. Они все идут с 2 гб

ноутбучные 1050 с 4гб

_________________
Люди, ненавидящие кошек, в следующей жизни будут мышами.


 

Member
Статус: Не в сети
Регистрация: 04.08.2004
Откуда: Екатеринбург
Rm76 писал(а):
Была просто в пакете, продаван сказал типа OEM продукция, нет никакой упаковки.

Коллега купил 2 таких палитовских (в пакетиках). Память Микрон гонится до 2250(9000) :crazy:. Очень доволен.

_________________
R5 9600X/MSI B850 Tomahawk/2x24GB DDR5-6000/RTX 5070 12GB


 

Member
Статус: Не в сети
Регистрация: 23.03.2017
Даже если бы это была 1050 не тишка, то все равно производительность получается низкая, у меня простая 1050, игры она тянет на высоких в 1080р и тот же проц, что и у Вас, ну может только сглаживание приходится убирать. Посмотрите power limit в msi afterburner должен быть на максимуме. Я не думаю, что проблема в железе, скорее что то не дает карте буститься на полную


 

Заблокирован
Заблокирован
Статус: Не в сети
Регистрация: 27.07.2016
Откуда: Регион 05
kostik1966beta писал(а):
Посмотрите power limit в msi afterburner должен быть на максимуме. Я не думаю, что проблема в железе, скорее что то не дает карте буститься на полную

Карта без доп. питания, ползунок power limit в AB для неё отсутствует.
FireStrike сколько должен выдавать примерно на 1050 обычной хотя бы, где можно глянуть? Или другие какие-нибудь тесты? Завтра накачаю бенчей где-нибудь, а то у меня тут тырнет вообще никакой.
Вот фотки видяшки этой :

На верхнем фото видно (обведено зелёным квадратиком) что поплавлены контакты выхода DVI, или их довольно неряшливо паяли. Кто-то или вернул её, или она после ремонта. Маловероятно что на ней майнили, это не 1060, но карточка Б/У, это 100%, продали её как новую. А с таким палевом её уже не вернуть, не примут, скажут что такого не было.

Может ли быть, чисто теоретически, что вышла из строя часть вычислительных блоков, но при этом никакие софтины это не отображают и карта сохранила работоспособность?

_________________
Люди, ненавидящие кошек, в следующей жизни будут мышами.


 

Member
Статус: Не в сети
Регистрация: 06.01.2016
Откуда: г. Наб. Челны
Rm76 прогони https://benchmark.unigine.com/heaven. Завтра тоже в дефолте без разгона сделаю. По дефолту у нас частоты одинаковые, не должно быть большой разницы.


Показать сообщения за:  Поле сортировки  
Начать новую тему Новая тема / Ответить на тему Ответить  Сообщений: 3054 • Страница 50 из 153<  1 ... 47  48  49  50  51  52  53 ... 153  >
-

Часовой пояс: UTC + 3 часа


Кто сейчас на конференции

Сейчас этот форум просматривают: нет зарегистрированных пользователей и гости: 23


Вы не можете начинать темы
Вы не можете отвечать на сообщения
Вы не можете редактировать свои сообщения
Вы не можете удалять свои сообщения
Вы не можете добавлять вложения

Перейти:  
Создано на основе phpBB® Forum Software © phpBB Group
Русская поддержка phpBB | Kolobok smiles © Aiwan