Часовой пояс: UTC + 3 часа




Куратор(ы):   CoolCmd    Leshiy2371    Винни-Пух   



Начать новую тему Новая тема / Ответить на тему Ответить  Сообщений: 26510 • Страница 801 из 1326<  1 ... 798  799  800  801  802  803  804 ... 1326  >
  Пред. тема | След. тема 
В случае проблем с отображением форума, отключите блокировщик рекламы
Автор Сообщение
 
Прилепленное (важное) сообщение

Advanced member
Статус: Не в сети
Регистрация: 27.06.2007
Откуда: Vzm-Msk
Фото: 2
Это тема для выбора и обсуждения процессорных воздушных систем охлаждения на тепловых трубках.
FAQ находится на первой странице.

Ниже приведены наиболее актуальные процессорные кулеры из доступных в продаже, сгруппированные по категориям:
Ультимативные решения
Thermalright Frost Spirit 140
Thermalright Frost Commander 140
Thermalright SilverArrow IB-E Extreme (T8) *
* существует крепление под АМ5 и сокет 1700
Thermaltake ToughAir 710

Компактные двубашенные кулеры(со 120мм вентиляторами)
Thermalright Phantom Spirit 120SE

Thermalright Frost Tower 120
ID-Cooling SE-207-XT Advanced
Deepcool AK620
Кулеры высотой менее 150мм
Thermalright Silver Soul 135
Noctua NH-D9L
ID-Cooling SE-207-XT Slim
ID-Cooling SE-904-XT Slim
Cryorig M9
Cryorig H7
Deepcool Gammaxx 300 Fury
ID-Cooling SE-224-XTS Mini
Be Quiet! Pure Rock Slim 2
Thermalright Assassin X 120 R SE v2
Thermalright Assassin King 120 Mini v2
Thermalright AK90
Thermalright TA120 EX Mini
Кулеры высотой до 161мм
be quiet! Dark Rock 4
Thermalright Burst Assassin 120(ARGB)
Thermalright Assassin King 120
ID-Cooling SE-224-XTS
Deepcool AG400
Thermalright Frost Spirit 140
Thermalright Frost Commander 140
Thermalright Frost Tower 120
Thermalright Phantom Spirit 120(SE)
Thermalright Peerless Assassin 120
Scythe Fuma 3

ID-Cooling SE-207-XT Advanced
Кулеры высотой более 161мм
Cryorig R1 Universal(Ultimate)
Noctua NH-D15(S)
Thermaltake ToughAir 710
Thermalright Silver Arrow IB-E Extreme (T8)
ID-Cooling FROZN A720
GamerStorm Lucifer v2
Deepcool AS500
Thermalright Archon
Самое удачное решение цена/эффективность
Thermalright Frost Spirit 140 - за прошедшие 3 года так и не удалось найти в ритейле кулер в ценовой категории 4500-6500руб, который бы обладал лучшим соотношением Цена/Качество/Производительность. магазин 1, магазин 2
Вложение:
DSC05712.JPG
DSC05712.JPG [ 1.22 МБ | Просмотров: 537679 ]

Thermalright Phantom Spirit 120SE на текущий момент это самый производительный кулер со 120мм вентиляторами в категории 3600-5000руб.магазин1, магазин 2, магазин 3
Thermalright Burst Assassin 120ARGB самый дешевый шеститрубочный однобашенный кулер. магазин 1, магазин 2
Вложение:
DSC06909.JPG
DSC06909.JPG [ 431.33 КБ | Просмотров: 537679 ]

ID-Cooling SE-224-XTS - самый дешевый 4-х трубочный кулер, которого хватит для большинства игровых систем.
Кулеры для SFF и HTPC систем
ExeGate ESNK-0049.PWM.1U.115x.Cu (30мм)
ExeGate ESNK-0046.1U.115x.Cu (25мм)
Thermalright AXP-90 X36 (X47 / X53)
Thermalright AXP-90 X47-COPPER (47мм)
Thermalright AXP-120 X67 (высота 67мм)
Deepcool AN600 (высота 67мм)
Thermalright SI-100 (высота 100мм)
Cryorig C1 CR-C1A (74мм)
Cryorig C7 CR-C7R (47мм)
Радиаторы пассивного охлаждения
Noctua NH-P1
Scythe Orochi модель на текущий период раритетная, но все еще обладающая внушительной производительностью. Иногда всплывает на вторичном рынке.
NoFan CR-80EH /CR-95 так как производитель NoFan приказал долго жить, цены на новые экземпляры на вторичном рынке / аукционах очень сильно кусаются.
LGA2066/LGA4677/TR4
Ввиду общей стоимости платформ на данных сокетах, а также стабильно высокого потребления в качестве СО будут рекомендоваться исключительно бескомпромиссные решения.

2066
1) СО из раздела "Ультимативные решения"
2) СО с достаточной площадью рассеивания, большим размером подошвы и более низкой ценой:
Thermalright Le GRAND MACHO RT
Thermalright Archon IB-E X2
Thermalright TRUE Spirit 140 Power
Deepcool ASSASSIN II (самая дешёвая СО с характеристиками двухсекционного кулера. Рекомендован исключительно для 2066/2011-3)

TR4
Thermalright Silver Arrow TR4
Кастомное водяное охлаждение
Термопасты
Информация для ознакомления. Термопасты в этой теме НЕ обсуждаются. Сообщения с обсуждением термопаст будут удалены.

Термопасты применяются как слой теплопроводящего состава между охлаждаемой поверхностью (крышка процессора) и отводящим тепло устройством (кулер). Служат для замены воздуха (крайне низкая теплопроводность - 0,0259 Вт/(м·K) при 20°С и 0,0296 Вт/(м·K) при 70°С) на вещество с более высокой теплопроводностью (теплопроводность паст колеблется в диапазоне от 1 Вт/(м·K) (кпт8) до 12,5 Вт/(м·K) (Thermal Grizzly Kryonaut)

Термопасты с максимальной эффективностью (рекомендуются для использования с топовыми процессорами в разгоне):
  • Thermal Grizzly Kryonaut
  • Gelid GC-Extreme
  • Cooler Master MasterGel Maker

Термопасты комплектные, не требующие замены:
  • Noctua NT-H1
  • CRYORIG CP5/CP7
  • Phanteks PH-NDC
  • Be quiet! DC1

Термопасты для обычного использования:
  • Arctic MX-2

Не рекомендуется использовать между крышкой процессора и подошвой кулера жидкий металл.


НЕ ИСПОЛЬЗУЙТЕ BACKPLATE CAP ПРИ УСТАНОВКЕ ТЕРМАЛРАЙТОПОДОБНЫХ КУЛЕРОВ С УНИВЕРСАЛЬНЫМ КРЕПЛЕНИЕМ
либо внимательно осмотрите при его установке площадку конденсаторов сокета матплаты с обратной стороны

При формулировании вопроса укажите:
1) Текущую и/или планируемую платформу - имеет значение как процессор, мат.плата, так и видеокарта
2) Модель корпуса
3) Модель оперативной памяти (лучше точную маркировку)
4) Бюджет
5) Регион и предпочитаемые магазины
6) Назначение ПК - игры, рендер, 3D-моделирование


Старая тема: Выбор воздушного кулера для процессора - скорая помощь новичкам и бывалым + FAQ часть 1


Последний раз редактировалось CoolCmd 12.09.2025 15:33, всего редактировалось 58 раз(а).
укорочен заголовок



Партнер
 

Куратор темы
Статус: Не в сети
Регистрация: 08.06.2019
Откуда: Сибирь
Фото: 2
Doomer12 писал(а):
Они точно будут не хуже?

Точно. ВА120 даже лучше.
Doomer12 писал(а):
Какие ещё есть варианты?

Из 6-трубочников по вменяемой цене ? Больше нет.
Doomer12 писал(а):
Стоит смотреть на cougar forza 85?

Не знаю. На монокристальном Интел - неплохо выступает, но вот как он покажет себя на чиплетном Райзен...Это вопрос. Не щупал, поэтому ничего не скажу.
П.С. Еще как возможный вариант - https://www.coolera.ru/tovar.php?tovar=15491 , но кулер горбатый, для лучшего результата потребуется шлифовка.
Также можно глянуть 5-трубочники - AS500 и Proxima 565.

_________________
6850K/Armageddon/X99A-SLI Plus/TUF 3080/64Gb/Aurum 850PT/HAF XB EVO
12700K/Z690TUF Gaming Plus D4/Suprim 3080/32Gb/Aurum 850PT/Z9 Iceberg MS


 

Member
Статус: Не в сети
Регистрация: 12.09.2018
Leshiy2371 писал(а):
Точно. ВА120 даже лучше.

А можно уточнить почему будет лучше? сам радиатор вроде бы меньше чем у мугена..? Про этот можете что то сказать(GamerStorm Fryzen)? или все же 5 трубочный AS500 лучше всех вышеперечисленных будет?


 

Overclocked Tester
Статус: Не в сети
Регистрация: 06.01.2009
Откуда: Россия, Иваново
Phanteks представила на CES 2023 три новых кулера и среди них двухбашенный Polar T6:

Вложение:
Snap1.png
Snap1.png [ 564.15 КБ | Просмотров: 762 ]


Уж не знаю, привезут ли к нам его.

_________________
MSI MPG Z790 Edge WiFi | Intel Core i9-13900K
ASUS ROG Strix X870E-E Gaming WiFi | AMD Ryzen 9 9950X
https://t.me/bench_and_play


 

Куратор темы
Статус: Не в сети
Регистрация: 08.06.2019
Откуда: Сибирь
Фото: 2
Jordan писал(а):
Уж не знаю, привезут ли к нам его.

Али Экспресс в помосчь - я оттуда новинки тащу.

Добавлено спустя 6 минут 40 секунд:
Doomer12 писал(а):
А можно уточнить почему будет лучше? сам радиатор вроде бы меньше чем у мугена..?

Радиатор м/б и меньше, но теплообмен лучше. И Мьюген 5 и ВА120 у меня сейчас в ПК стоят. На том же Р7-3700 ВА120 обходит Мьюген 5 на 4-5С.
Doomer12 писал(а):
Про этот можете что то сказать(GamerStorm Fryzen)?

Ничего не скажу - не было его у меня.
Doomer12 писал(а):
или все же 5 трубочный AS500 лучше всех вышеперечисленных будет?

Не будет. В стоке почти равен Мьюген 5 на Райзен 3000/5000. После замены вентилятора - становится чуть лучше. Но если шлифануть горб у Мьюген 5 :D

_________________
6850K/Armageddon/X99A-SLI Plus/TUF 3080/64Gb/Aurum 850PT/HAF XB EVO
12700K/Z690TUF Gaming Plus D4/Suprim 3080/32Gb/Aurum 850PT/Z9 Iceberg MS


 

Junior
Статус: Не в сети
Регистрация: 31.12.2022
Ребят привет) подскажите пожалуйста, купил https://m.onlinetrade.ru/catalogue/kule ... 28437.html вот этот кулер, установил на плате, соединил 2 кулера переходником и вставил в серый разъем cpu_fan. Но вот как ARGB поставить не пойму. От каждого кулера есть набор проводов argb и есть ещё провод на одном конце провода 3 pin, а на другом его конце Sata порт. Короче как подсветку подрубить? На плате есть только один RGB(не ARGB). Короче хз чё делать


 

Member
Статус: Не в сети
Регистрация: 01.06.2005
Откуда: Санкт-Петербург
Фото: 24
Gats93 тут телепатов нет, но попробую предположить, что надо вам в тему МП.

_________________
• AMD R5-5600 • Thermalright BA120 • ASrock B450M Pro4 • 2x16Gb @3600MHz CL16 • RX6700XT • KIOXIA Exceria 500GB • DeepCool PQ750M • LG 27GN600-B •


 

Member
Статус: Не в сети
Регистрация: 17.02.2008
Откуда: Москва
Фото: 12
Gats93 писал(а):
Короче как подсветку подрубить?

Ну на сколько я понимаю, вот эту хрень с сата подрубаете в сата, и к нему ргб от кулера... скорей всего только так, раз на МП нет АРГБ.
Это контроллер для подсветки, конечно проще чем к МП подрубить, так только определённые режимы - но и то, гуд что в комплекте идёт.

_________________
I am only the NoIsE on the WiReS!
Z80 -> i386 40 -> Am100 -> P100 -> Cel.667 -> Cel.Tualatin1,2 -> XeonE5450 (sold), профильные =)


 

Junior
Статус: Не в сети
Регистрация: 31.12.2022
Sabotender писал(а):
Это контроллер для подсветки, конечно проще чем к МП подрубить, так только определённые режимы - но и то, гуд что в комплекте идёт


Спасибо большое, попробую сегодня)


 

Junior
Статус: Не в сети
Регистрация: 01.01.2023
Подскажите пожалуйста, будет ли достаточно для i5-12400 под разгон Thermalright Burst Assassin 120 или лучше Thermalright Peerless Assassin 120 BLACK P-ASSASSIN-120-BLACK (только непонятно, есть ли у него крепление под LGA1700)? У всех не работает онлайн-трейд уже который день?


 

Куратор темы
Статус: Не в сети
Регистрация: 08.06.2019
Откуда: Сибирь
Фото: 2
Passage писал(а):
Подскажите пожалуйста, будет ли достаточно для i5-12400 под разгон Thermalright Burst Assassin 120

Да. Он у меня сейчас на 12700К стоит
Вложение:
IMG20230107162245.jpg
IMG20230107162245.jpg [ 990.74 КБ | Просмотров: 512 ]

П.С. После ВА120 я на него АйсХаммер 4500+ вкорячу - ну чисто для интереса посмотреть, как оно. А вдруг заработают все его 5-ть 8мм ТТ ?

_________________
6850K/Armageddon/X99A-SLI Plus/TUF 3080/64Gb/Aurum 850PT/HAF XB EVO
12700K/Z690TUF Gaming Plus D4/Suprim 3080/32Gb/Aurum 850PT/Z9 Iceberg MS


 

Junior
Статус: Не в сети
Регистрация: 08.01.2023
Привет! Подбираю кулер для 12600K с разгоном. Был выбор в сторону Deepcool AG620, сейчас нашел в продаже Thermalright FROST SPIRIT 140 V3 и Thermalright Peerless Assassin 120. Цена +- одинакова (3900-4400р), последние два есть только белые, что негативный фактор на фоне, на первый взгляд, примерно одинаковой производительности. Какой вариант рекомендуете и почему?

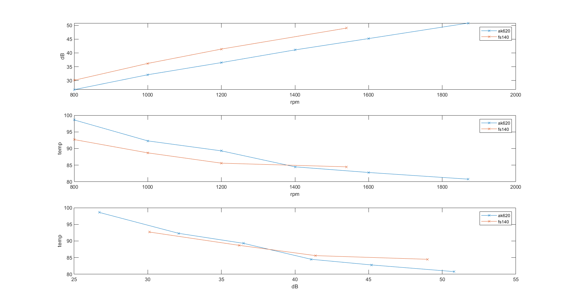
Что выяснил. FS140 - здоровый, длиннее, возможно шумнее, только 4 трубки (но толще), здесь его любят и уважают. AK620 менее эффективный на соотв. оборотах, хотя более тихий, эффективность шум-температура совпадает с FS140 (если уровень шума корректно сравнивать из разных опытов), и за счет более высокой макс скорости вертушек дает меньшие минимальные температуры. PA120 для меня загадка. Тесты тов. Джордана видел (AK620 и FS140). Сравнительный график привел во вложении. Непонятно, насколько V3 версия FS140 эффективнее V1 протестированной. Выбор неочевиден.

И еще вопрос - насколько безопасно крепить такие огромные башни только к матери? Или имеет смысл добавить крепление конца башен к корпусу?
Вложение:
ak620_fs140.png
ak620_fs140.png [ 50.09 КБ | Просмотров: 491 ]


Последний раз редактировалось tamerlanchik 08.01.2023 12:55, всего редактировалось 1 раз.

 

Junior
Статус: Не в сети
Регистрация: 31.12.2022
Всем привет, отпишусь на счёт кулера Thermalright Peerless Assassin 120 White ARGB может кому-нибудь поможет с выбором. Процессор ryzen 5600x, корпус взял новый zet gaming rare m2 argb, материнка gigabyte b350 gaming 3. В аиде 64 в тесте на стабильность проца под 100% нагрузкой температура была 57-58. Мониторил в это время Hwinfo температура vrm mos и vsoc mos примерно 45-52. В играх тоже самое 57 градусов. Частота cpu 4400- 4600. Единственное где проц прогрелся до 60 и чуть сильнее кулера вращались это старенький heroes of the storm и там нагрузка на одно ядро только.


 

Куратор темы
Статус: Не в сети
Регистрация: 08.06.2019
Откуда: Сибирь
Фото: 2
tamerlanchik писал(а):
Что выяснил. FS140 - здоровый, длиннее, возможно шумнее, только 4 трубки (но толще), здесь его любят и уважают.

Потому что берут на АМД у которого проблемы с теплоотведением. К тому же по соотношению цена/качество/производительность нужно еще поискать лучший образчик, тем более за 60$.
tamerlanchik писал(а):
Непонятно, насколько V3 версия FS140 эффективнее V1 протестированной. Выбор неочевиден.

Сергей тестировал V2 версию, т.к. на момент проведения тестирования V1 уже не выпускалась.
tamerlanchik писал(а):
AK620 менее эффективный на соотв. оборотах, хотя более тихий, эффективность шум-температура совпадает с FS140 (если уровень шума корректно сравнивать из разных опытов), и за счет более высокой макс скорости вертушек дает

В Прайме95 (на Р7-3700) 620-й при оборотах 600-1000 показывал фантастические температуры(перегрев), а при оборотах выше 1500 гудит, как Ту-95 на взлете. Правда у меня горбатый экземпляр.

_________________
6850K/Armageddon/X99A-SLI Plus/TUF 3080/64Gb/Aurum 850PT/HAF XB EVO
12700K/Z690TUF Gaming Plus D4/Suprim 3080/32Gb/Aurum 850PT/Z9 Iceberg MS


 

Member
Статус: Не в сети
Регистрация: 08.04.2010
Откуда: Омск
Фото: 6
Leshiy2371 он лучше чем Thermalright Peerless Assassin 120 White ARGB, с 6-ю трубками?

_________________
MSI MAG B660M MORTAR MAX WIFI DDR4, I5 12400, R7S416G2606U2K,AG400,ZM500-TXII,MX330-G
BFBC2: DIMKOSS11
BF3: Dimkoss11
А что, если bf5 будет еще хуже?


 

Куратор темы
Статус: Не в сети
Регистрация: 08.06.2019
Откуда: Сибирь
Фото: 2
dimka11 писал(а):
он лучше чем Thermalright Peerless Assassin 120

Таки да.По крайней мере - на АМД.

_________________
6850K/Armageddon/X99A-SLI Plus/TUF 3080/64Gb/Aurum 850PT/HAF XB EVO
12700K/Z690TUF Gaming Plus D4/Suprim 3080/32Gb/Aurum 850PT/Z9 Iceberg MS


 

Overclocked Tester
Статус: Не в сети
Регистрация: 06.01.2009
Откуда: Россия, Иваново
Новинки DeepCool на CES 2023:
#77

https://www.techpowerup.com/live/CES_2023/Deepcool

Добавлено спустя 2 минуты 59 секунд:
А у Cooler Master аж восемь тепловых трубок в кулере:
#77

И тоже много новинок.

_________________
MSI MPG Z790 Edge WiFi | Intel Core i9-13900K
ASUS ROG Strix X870E-E Gaming WiFi | AMD Ryzen 9 9950X
https://t.me/bench_and_play


 

Member
Статус: Не в сети
Регистрация: 17.02.2008
Откуда: Москва
Фото: 12
Jordan писал(а):
А у Cooler Master аж восемь тепловых трубок в кулере:

Там есть мутант на 9 ТТ, правда не нравятся мне кулеры с окожушкой
#77

_________________
I am only the NoIsE on the WiReS!
Z80 -> i386 40 -> Am100 -> P100 -> Cel.667 -> Cel.Tualatin1,2 -> XeonE5450 (sold), профильные =)


 

Member
Статус: Не в сети
Регистрация: 15.07.2013
Фото: 112
Sabotender
че курили дизайнеры непонятно)
как палиты с их стразами)


 

Member
Статус: Не в сети
Регистрация: 17.02.2008
Откуда: Москва
Фото: 12
Godlike66 писал(а):
как палиты с их стразами

Ну стразы палита очень даже ничего, если ВК устанавливать так сказать "лицом" к стеклу, для этого дизайн прямо ок - в стандартном положении он нафиг не нужен.
А тут уж ладно окожушка и цвет понятно (а ля название фирмы), но если кто делает сборку для красоты, придётся плясать именно от цвета кулера. Типа белый корпус, вертушки от тех-же айсбергов, ВК белую там и т.п.
типа сюда бы их кулер и вертушки норм бы вписались
#77
интересно, что это за ВК корсар =)

_________________
I am only the NoIsE on the WiReS!
Z80 -> i386 40 -> Am100 -> P100 -> Cel.667 -> Cel.Tualatin1,2 -> XeonE5450 (sold), профильные =)


 

Куратор темы
Статус: Не в сети
Регистрация: 08.06.2019
Откуда: Сибирь
Фото: 2
Jordan писал(а):
Новинки DeepCool на CES 2023:

Кубический закос под БиКвайт ? Или под Scythe ?
Jordan писал(а):
А у Cooler Master аж восемь тепловых трубок в кулере

Лавры Стрелы не дают покоя однако...
Sabotender писал(а):
Там есть мутант на 9 ТТ

Сусаноо со своими 12-тью спит спокойно :D

Добавлено спустя 2 минуты 20 секунд:
Jordan писал(а):
И тоже много новинок.

Реальные новинки есть, а не перекрашенные / переоблицованные старые модели ?
Хотя о чем это я - сейчас ведь мода на ремастеры и ремейки :D

_________________
6850K/Armageddon/X99A-SLI Plus/TUF 3080/64Gb/Aurum 850PT/HAF XB EVO
12700K/Z690TUF Gaming Plus D4/Suprim 3080/32Gb/Aurum 850PT/Z9 Iceberg MS


Показать сообщения за:  Поле сортировки  
Начать новую тему Новая тема / Ответить на тему Ответить  Сообщений: 26510 • Страница 801 из 1326<  1 ... 798  799  800  801  802  803  804 ... 1326  >
-

Часовой пояс: UTC + 3 часа


Кто сейчас на конференции

Сейчас этот форум просматривают: Ханыга, ximix и гости: 6


Вы не можете начинать темы
Вы не можете отвечать на сообщения
Вы не можете редактировать свои сообщения
Вы не можете удалять свои сообщения
Вы не можете добавлять вложения

Перейти:  
Создано на основе phpBB® Forum Software © phpBB Group
Русская поддержка phpBB | Kolobok smiles © Aiwan