Часовой пояс: UTC + 3 часа




Начать новую тему Новая тема / Ответить на тему Ответить  Сообщений: 12597 • Страница 457 из 630<  1 ... 454  455  456  457  458  459  460 ... 630  >
  Пред. тема | След. тема 
В случае проблем с отображением форума, отключите блокировщик рекламы
Автор Сообщение
 
Прилепленное (важное) сообщение

Junior
Статус: Не в сети
Регистрация: 27.06.2003
Откуда: UKR@ODESSA
Тема для выбора и обсуждения источников бесперебойного питания - ИБП (Uninterruptible Power Supply - UPS).

Важно:
Прежде, чем задать вопрос, читаем F.A.Q.!

Также воспользуйтесь поиском по теме и обязательно прочитайте первое сообщение темы и хотя бы несколько последних страниц - возможно, ответ на ваш вопрос уже есть в F.A.Q., в теме или в материалах по ссылкам из первого сообщения.

При формулировании вопроса о выборе ИБП:
1. Укажите назначение ИБП (просто дать корректно завершить работу / дать поработать какое-то время / исправить некондиционное сетевое напряжение без перехода на АКБ (режим генератора/стабилизации) / другое).
2. Заполните профиль или укажите защищаемое оборудование (особенно тип, мощность или марку БП).
3. Укажите качество электроснабжения (завышенное/заниженное напряжение в сети, часто/редко пропадает, надолго/кратковременно и т. д.)
4. Укажите дополнительные пожелания (возможность управления ПК, защита телефонной линии/сети, тип и число розеток и т. п.)
5. Предоставьте список магазинов, где будете покупать, и предполагаемый список моделей в них.
6. Озвучьте бюджет (верхнюю границу стоимости).

Список полезных тем:
Статистика по UPS - статистика использования, отзывы о работе и совместимости с различными типами БП.
Доработка ИБП - доработка ИБП своими силами (замена вентиляторов, увеличение мощности ИБП и т. д.)
ИБП (UPS). Решение проблем и вопросы по эксплуатации источников бесперебойного питания - вопросы по эксплуатации (калибровка, настройка, выбор и замена АКБ и т. д.)

Конфигураторы (годятся только для очень прикидочных расчетов. Для более точных - используйте калькуляторы из F.A.Q.):
Утилита выбора ИБП от APC (by Schneider Electric)
UPS Selector от Eaton
Конфигуратор ИБП от Eaton

В связи с повальным ухудшением качества новых ИБП и тотальным засилием одних и тех же китайских клонов под различными брендами и нежеланием платить за хорошие новые ИБП рекомендуется рассмотреть вопрос покупки брендового б/у ИБП известных фирм (APC, Eaton и т. д.)
Как проверить б/у ИБП
Без нагрузки:
1. Подключаем к сети и включаем; обычно ИБП должен пройти проверку АКБ и инвертора и перейти на сеть (не у всех).
2. Выполняем self-test (самопроверка; есть не у всех моделей); для этого нажимаем и удерживаем кнопку "включение" при уже включенном ИБП - проверка обычно немного обширней, чем п. 1
3. Выдергиваем провод питания ИБП; ИБП должен перейти на работу от АКБ. Можно изобразить "неконтакт" (подергать провод питания несколько раз, отключив/включив таким образом сетевое питание); ИБП должен корректно отрабатывать пропадания.
4. Проверяем "холодный старт" ИБП (включение ИБП без сети, от АКБ); для этого надо нажать и удерживать кнопку "включение" при отключенном от сети ИБП (есть не у всех моделей).
5. Проверяем связь с ПК (сам ПК при этом совершенно необязательно запитывать от этого ИБП; достаточно интерфейсного кабеля).
6. Проверяем правильное завершение работы ПК по команде от ИБП (разряжаем до порога отключения и смотрим).
7. Желательно также проверить выходное напряжение ИБП при его работе от АКБ (но это если скилл имеется и навыки обращения с вольтметром).

Для проверки АКБ:
1. Смотрим дату выпуска АКБ или хотя бы дату отлива корпуса АКБ (гуглить в интернете по каждому конкретному производителю).
2. Смотрим, насколько показания индикаторов/софтины отличаются от предполагаемой нагрузки (лучше лампа или что-то, мощность чего можно оценить).
3. Желательно проверить, насколько падает показание остатка АКБ со временем по мощности и емкости АКБ. Считаем приближенно так - суммируем емкость всех АКБ в ИБП, умножаем ее на напряжение одной батареи (обычно это 12В, но бывают и другие варианты, типа 6+6В и т. п.), полученное значение делим на 3. Это будут суммарные Вт*ч, которые надо разделить на мощность нагрузки, чтобы получить время работы в часах, для минут результат умножьте на 60. Пример: в ИБП 2 АКБ по 7Ач на 12В каждая, получаем (7+7)*12/3=56Вт*ч. При мощности нагрузки в 200Вт батарей хватит условно на 0,28ч или 17 минут. Соответственно за половину этого времени индикация должна показать половину заряда, то есть хотя бы примерно соответствовать. Это всё для новых АКБ, старые могут быть в 2-3 раза хуже и резко скинуть заряд, плюс правильность индикации зависит о своевременности и правильности проведения калибровки ИБП.
Немного о связке ИБП+БП с APFC.
Если кто-то желает добавить что-либо - пишите в ЛС куратору темы.


ursus - запрет на сообщения перманентно.


Последний раз редактировалось Хитрый John 21.12.2017 20:33, всего редактировалось 19 раз(а).


Партнер
 

Junior
Статус: Не в сети
Регистрация: 10.09.2020
Rhombus писал(а):
в итоге купил POWERCOM Smart King Pro+ SPT-1500-II LCD - как единственную модель без вентиляторов, доп. бонусом - чистая синусоида, дисплей, мониторинг на ПК.
Все работает отлично, при выключении из розетки держит профильный конфиг пару минут со средней нагрузкой (больше ждать не стал), есть беззвучный режим. Один момент смущает - полностью заряжена батарея, но программа показывает 91%. Наверное, нужна какая-то калибровка, но чет лень...

Кстати, оказалось, что старый APC Back-UPS 400 довольно шумный - после его отключения ушел фоновый шум, к которому я за 10 лет привык и не замечал... Новый УПС вообще не слышен.

Как по нагреву? Без вентилятора не плавится?


 

Member
Статус: Не в сети
Регистрация: 23.07.2018
Откуда: Москва
Фото: 2
Mono777 писал(а):
Как по нагреву? Без вентилятора не плавится?

по мониторингу 39 градусов, когда отрубал от розетки - 40. На ощупь чуть теплый.

_________________
Ryzen 7 5700x3d/Asus PRIME X470-PRO/GeForce RTX 4070 TI


 

Member
Статус: Не в сети
Регистрация: 15.10.2012
Откуда: Санкт-Петербург
Яков писал(а):
в AIDA запустите "Тест стабильности системы" (все галочки) и посмотрите во вкладке "Электропитание" сколько %-ов мощности ИБП "съедает"(?), параметр "Нагрузка". конечно тест AIDA не нагружает GPU на 100%, но ориентировочно 80-90% нагрузит.

А как долго надо держать тест запущенным? Получается, что система под стресс-тестом жрёт 63%, но и без стресс-теста программа показывает столько же. Относительно 12В линии FSP, где 456Вт у нового (а мой б/у много лет), то система ест 287Вт.


Вложения:
Untitled.jpg
Untitled.jpg [ 623.19 КБ | Просмотров: 608 ]


Последний раз редактировалось Amadeo 27.09.2020 13:10, всего редактировалось 1 раз.
 

Member
Статус: Не в сети
Регистрация: 08.02.2012
Откуда: Алтай, Бийск
Фото: 15
Amadeo писал(а):
Получается, что система под стресс-тестом жрёт всего-лишь 63%
ну вот, прибавьте 20% к этому, "на всякий случай", вам сразу сказали - не ИБП слабый, а батарея полумертвая.
Цитата:
длительный тест не сократит прилично срок службы GPU/CPU?
за 10-15 мин ничего не будет, в "худшем случае" при троттлинге ЦП уйдет в защиту, ПК отключиться и все. но это надо разогнать проц до "безобразия", и чего вы так боитесь тестов? а как же люди LinX на 2-3 часа или Prime 95 на сутки запускают, чтобы проверить стабильность разгона. или MSI Kombustor для ВК на 15-20 минут чтобы проверить на нагрев и артефакты.


Добавлено спустя 4 минуты 40 секунд:
Amadeo писал(а):
и без стресс-теста столько же ест.
да быть того не должно, неужто без нагрузки жрет 210Вт?( 63% от 330Вт) у меня в простое 12% , от 670Вт это всего 80.5Вт!

_________________
чем умнее ИИ, тем глупее человек


 

Member
Статус: Не в сети
Регистрация: 15.10.2012
Откуда: Санкт-Петербург
Яков писал(а):
ну вот, прибавьте 20% к этому, "на всякий случай", вам сразу сказали - не ИБП слабый, а батарея полумертвая.

Обновил старое сообщение. То есть приблежённое реальное потребление системы - это произведение 63% на упавшую мощность многолетнего БП по линии 12В?
То есть, если БП выдаёт 100% мощности по 12В (в данном случае 456Вт), то у системы был бы запас 37%, а если БП выдаёт 80% мощности спустя несколько лет, то запас становится 17%?

Добавлено спустя 1 минуту 13 секунд:
Яков писал(а):
да быть того не должно, неужто без нагрузки жрет 210Вт?( 63% от 330Вт) у меня в простое 12% , от 670Вт это всего 80.5Вт!

Может к фильтру сетевому подключить вместо ИБП?


 

Member
Статус: Не в сети
Регистрация: 08.02.2012
Откуда: Алтай, Бийск
Фото: 15
Amadeo писал(а):
это произведение 63% на упавшую мощность многолетнего БП по линии 12В?
причем здесь упавшая мощность БП? система то меньше или больше не стала "жрать". и система не только по 12V работает, и по 3.3V и по 5.5V, и + монитор, общая мощность считается. да вам не нужно высчитывать до 1%, не усложняйте себе жизнь. :-)

Добавлено спустя 1 минуту 35 секунд:
Amadeo писал(а):
к фильтру сетевому подключить вместо ИБП?
в смысле? что подключить к фильтру вместо ИБП?

_________________
чем умнее ИИ, тем глупее человек


 

Member
Статус: Не в сети
Регистрация: 15.10.2012
Откуда: Санкт-Петербург
Я о том, что в простое в режиме энергосбережения не должна система жрать 63%

Добавлено спустя 3 минуты 35 секунд:
Все, экран погас через 2 минуты, бсодов нет


 

Member
Статус: Не в сети
Регистрация: 08.02.2012
Откуда: Алтай, Бийск
Фото: 15
Amadeo писал(а):
в простое в режиме энергосбережения не должна система жрать 63%
не должна! говорю же, у меня только 12%, и то с включенным терминалом инета, с запущенным браузером. хотя и один системник+монитор тоже 12% (80.5Вт)

_________________
чем умнее ИИ, тем глупее человек


 

Member
Статус: Не в сети
Регистрация: 15.10.2012
Откуда: Санкт-Петербург
Извините, что не цитирую, те пишу с телефона, а это неудобно, ибо полезу в комп.
Раз она не должна, то еще в рамках обсуждения ветки, это имеет отношение в выбору бесперебойника? Может его действительно не хватает?
Пока в мыслях снять модем/роутер, 4 гига оперативы, в системе отключить режим аеро и залезлть в настройки матплаты, посмотреть, может настройки авто не годятся и попробовать даунклокинг оперативки/матери, ну и мси бустер можно для видяхи. И отписаться сколько ест в простое

Добавлено спустя 3 минуты 4 секунды:
И поменять батарею с дохлой на полудохлую


 

Member
Статус: Не в сети
Регистрация: 08.02.2012
Откуда: Алтай, Бийск
Фото: 15
Amadeo писал(а):
Может его действительно не хватает?
да чего не хватает то? причина какая ого что без нагрузки аж 210Вт "жрут" потребители?
Цитата:
в мыслях снять модем/роутер, 4 гига оперативы, в системе отключить режим аеро и залезлть в настройки матплаты,
для чего? понять почему так много "жрет"? не проще ли найти ваттметр ?
так а до включения теста тоже было 63%, после выключение нажимали "обновить" в AIDA? а то она так и будет показывать пока не обновит данные датчиков.

_________________
чем умнее ИИ, тем глупее человек


 

Member
Статус: Не в сети
Регистрация: 15.10.2012
Откуда: Санкт-Петербург
"Обновить" во вкладке электропитание? Только сейчас из контекстного меню увидел.
До этого просто переходил на вкладку выше и возвращался обратно, думал таким образом осуществляется обновление.
Кстати, до этого гас не комп, а монитор из-за энергосберегающего режима.

Короче говоря сейчас все отрубил, как хотел, и показывает 8% прожорливости. Стартую 15 минут тест и гляну сколько будет.
Затем затестю аккумулятор без электосети, будет ли через минуту вырубаться. Так подозреваю, что с дефолтных 63% в простое сбросилось на 8% из-за осуществленного даунклокинга. Хотя я ничего не разгонял, а оставил настройки материнки авто, умолчание


 

Member
Статус: Не в сети
Регистрация: 08.02.2012
Откуда: Алтай, Бийск
Фото: 15
Amadeo писал(а):
все отрубил, как хотел, и показывает 8% прожорливости
ну вот, не 63% !
Цитата:
одозреваю, что с дефолтных 63% в простое сбросилось на 8% из-за осуществленного даунклокинга.
так значит у вас разгон системы так сделан, не должна система без нагрузки так много потреблять.
Цитата:
я ничего не разгонял, а оставил настройки материнки авто, умолчание
а тогда даунклокинг чего вы сделали? в BIOS по умолчанию параметры для ЦП и ОЗУ?

_________________
чем умнее ИИ, тем глупее человек


 

Member
Статус: Не в сети
Регистрация: 15.10.2012
Откуда: Санкт-Петербург
Прошло 15 мин теста, жму обновить, те же 8%


 

Member
Статус: Не в сети
Регистрация: 15.10.2012
Откуда: Санкт-Петербург
Да, по дефолту стоят цп озу
Снизил множитель с 8 на 6, частоту шины с 333 до 100, тайминги оперы какие толко можно, ее частоту до 100мг и частоту pci-e с 100 до 90

Почему не обновляются показатели до сих пор загадка


Последний раз редактировалось Amadeo 27.09.2020 15:49, всего редактировалось 1 раз.

 

Member
Статус: Не в сети
Регистрация: 08.02.2012
Откуда: Алтай, Бийск
Фото: 15
Amadeo как вы все усложняете... просто купили бы новую батарею, заменили/откалибровали и все!
или подсоберите денег, купите себе ИБП действительно мощнее, хотя бы SUA750i/SMT750i. и все вопросы по хватит/не хватит мощности сами собой отвалятся!

Добавлено спустя 3 минуты 29 секунд:
Цитата:
Прошло 15 мин теста, жму обновить, те же 8%
не понял, да под нагрузкой не может быть 8%, хоть какой "даунклокинг" делайте, 8% от 330Вт (мощность вашего ИБП) это 26.5Вт, так мало тоже не может быть даже без нагрузки, что то у вас нетого показывает..

_________________
чем умнее ИИ, тем глупее человек


 

Member
Статус: Не в сети
Регистрация: 15.10.2012
Откуда: Санкт-Петербург
Да он просто не обновляет показатели после теста, и я не понимаю почему..


 

Member
Статус: Не в сети
Регистрация: 08.02.2012
Откуда: Алтай, Бийск
Фото: 15
Amadeo писал(а):
частоту шины с 333 до 100
аа, по шине разгон, по этому и без нагрузки 63%, с этого и надо было начинать! :shock: с так с таким потреблением у вас и SUA 750i будет держать только 3-5 мин самое большое, а я то думаю почему так быстро вырубается ИБП. почему только 1 минуты и отключается.. по дефолту в Bios скиньте настройки и посмотрите сколько % "жрет". а то из крайности в крайность - то в разгоне до безобразия, то в даунклоке..

_________________
чем умнее ИИ, тем глупее человек


 

Member
Статус: Не в сети
Регистрация: 15.10.2012
Откуда: Санкт-Петербург
Я и объясняю что 333 у квадов это и есть дефолт для 35/45 чипсета. Так они и до 450 гонятся
А я вообще до 100 сбросил. И тем не менее бо батарейке результат тот же

Добавлено спустя 1 минуту 48 секунд:
По дефолту и жрет 63%, не по дефолту 8%

Добавлено спустя 24 минуты 52 секунды:
У меня по сути и были дефолтные настройки за тем лишь исключением, что отключил флоппи-дисковод и вкл распознавание usb в bios, всё. То есть какие пресеты для оверклокинга были предложены, такие и оставлены по умолчанию. И сейчас AIDA показывает 28%. Не работает лишь обновление показателей. Ну да ладно, это уже вопрос другой темы.

Добавлено спустя 18 минут 39 секунд:
Отражает непонятно что потому, что в парашюте нагрузка на ибп не отражается вовсе. То есть микропрограммой ибп данная функция не поддерживается. Вот и рисует сейчас аида показатели от балды. Сейчас у меня 28% якобы от 10 минутной нагрузки. Так что я бы не воспринимал эти числа всерьез и взял новую акб


 

Member
Статус: Не в сети
Регистрация: 08.02.2012
Откуда: Алтай, Бийск
Фото: 15
Amadeo писал(а):
рисует сейчас аида показатели от балды.
ну я тогда чем помогу? ищите ваттметр. пока не выясните реальное потребление разговоры о менять ИБП или только батарею вообще бессмысленны..
Цитата:
в парашюте нагрузка на ибп не отражается вовсе. То есть микропрограммой ибп данная функция не поддерживается.
вообще должно показывать нагрузку!

Добавлено спустя 6 часов 44 минуты 22 секунды:
Kozma писал(а):
Ты это шутишь???
не шучу, просто ляпнул по незнанию, как на LGA 1155 шина по умолчанию 100, я и подумал что так на других чипсетах. прошу прощенья за неосведомленность. все равно как то странно, ну не должен системник в простое "жрать" 200Вт. неужто на LGA775 такие неэкономичные платформы?

_________________
чем умнее ИИ, тем глупее человек


 

Junior
Статус: Не в сети
Регистрация: 05.08.2020
rdcrypt писал(а):
Cейчас ломаю голову - брать SPT-2000, может, все-таки потянет мою конфу и попадется без огрехов (судя по форумам, огрехи, встречаются у всех производителей). Либо смотреть в сторону Ippon и смириться с шумом в комнате (комп почти бесшумный, если в стресс-тесты не играть)

В продолжение истории, так сказать.

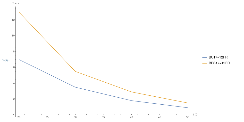
Заказал б\у SUA1500I. Подбираю аккумуляторы. Посмотрел темы тут (эту + обслуживание) и на forum.ixbt.com (UPS, чисто по APC и про АКБ)
На выбор из 17ah 12v:
1. CSB GP12170, 3500р * 2 = 7000р https://www.dns-shop.ru/product/7fb7007 ... b-gp12170/
2. B.B. Battery BC17-12, 3000р * 2 = 6000р https://www.dns-shop.ru/product/3e2989b ... -bc-17-12/
3. B.B. Battery BPS17-12 4550р * 2 = 9100р https://www.nix.ru/autocatalog/batterie ... 50774.html

Про этот CSB пишут, что такой сойдет, но лучше HR серий (к BB такая же рекомендация). Но в таком форм-факторе и такой емкости (17-25ач) не могу найти в продаже.
В продаже есть HR серии, но меньшей емкости и с другими клеммами соответственно, а городить колбасу под столом рядом\на с тушкой не хочется.
Про конкретно эти BB отзывов не видел. Но третий на полкило тяжелее второго, если смотреть спеки от производителя (http://www.bb-battery.ru/upload/iblock/fb3/BPS17-12.pdf, http://www.bb-battery.ru/upload/iblock/7fd/BC17-12.pdf)
Дельту, свен и т.д. по заветам бывалых даже не рассматривал, других с такими же хар-ками и формой не нашел.

UPD:
сравнил графики (Effect Of Temperature On Long Term Float Life) BB-шек из спек на одной шкале.


Вложения:
Screenshot_20200928_202408.png
Screenshot_20200928_202408.png [ 26.13 КБ | Просмотров: 467 ]


Последний раз редактировалось rdcrypt 28.09.2020 18:28, всего редактировалось 1 раз.
Показать сообщения за:  Поле сортировки  
Начать новую тему Новая тема / Ответить на тему Ответить  Сообщений: 12597 • Страница 457 из 630<  1 ... 454  455  456  457  458  459  460 ... 630  >
-

Часовой пояс: UTC + 3 часа


Кто сейчас на конференции

Сейчас этот форум просматривают: нет зарегистрированных пользователей и гости: 16


Вы не можете начинать темы
Вы не можете отвечать на сообщения
Вы не можете редактировать свои сообщения
Вы не можете удалять свои сообщения
Вы не можете добавлять вложения

Перейти:  
Создано на основе phpBB® Forum Software © phpBB Group
Русская поддержка phpBB | Kolobok smiles © Aiwan